当前位置:首页 > 电路图基础 > 正文

串联谐振升压原理

来源:网络  发布者:电工基础  发布时间:2026-03-07 17:14
  串联谐振是一种电路性质。同时也是串联谐振试验装置。   串联谐振试验装置分为调频式和调感式。一般是由变频电源、励磁变压器、电抗器和电容分压器组成。被试品的电容与电抗器构成串联谐振连接方式;分压

  串联谐振是一种电路性质。同时也是串联谐振试验装置。

  串联谐振试验装置分为调频式和调感式。一般是由变频电源、励磁变压器、电抗器和电容分压器组成。被试品的电容与电抗器构成串联谐振连接方式;分压器并联在被试品上,用于测量被试品上的谐振电压,并作过压保护信号

  在电阻、电感及电容所组成的串联电路内,当容抗XC与感抗XL相等时,即XC=XL,电路中的电压u与电流i的相位相同,电路呈现电阻性,这种现象叫串联谐振。当电路发生串联谐振时电路的阻抗Z=√R^2 +(XC-XL)^2=R,电路中总阻抗最小,电流将达到最大值。

  如果谐振频率等于电源频率,则电感和电容上的电压都可以超过电源电压的好多倍,这好象和荡秋千一样,只要顺应它的节凑,不必用很大的力,就可越荡越高,从而升压。从理论上说,反正电容和电感的阻抗相抵消,只剩下直流电阻,因此电流可以很大,电阻是耗能元件,电容和电感是储能元件,电源是供能元件,如果一个周期内补充的能量大于电阻消耗能量,系统能量增大(电感电容两端电压就升高),回路电流就增大,电阻耗能增大,从而达到平衡,电线电缆试验就是利用串联升压而得到高电压。 

  串联谐振升压原理

  串联谐振是由R、L、C元件组成的串联电路在一定条件下发生的一种特殊现象。图1所示R、L、C串联电路,在正弦电压Us激励下,其复阻抗为:

  

串联谐振升压原理

  式中电抗 是角频率的函数,X随变化的情况如图2所示。

  

串联谐振升压原理

  当从零开始向∞变化时,X从﹣∞向﹢∞变化。在ω<ωo时,X<0,电路为容性;在ω>ωo时,X>0,电路为感性;在ω=ωo时,

  此时电路阻抗Z(ωo)=R为纯电阻。电压和电流同相,电路此时的工作状态称为谐振。由于这种谐振发生在R、L、C串联电路中,所以又称为串联谐振。式1就是串联电路发生谐振的条件。由此式可求得谐振角频率ωo如下:

  

串联谐振升压原理

  由式(2)可知,串联电路的谐振频率是由电路自身参数L、C决定的.与外部条件无关,又称为电路的固有频率。当电源频率一定时,可以调节电路参数L或C,使电路固有频率与电源频率一致而发生谐振,如工频谐振升压的调感法;在电路参数一定时,可以改变电源频率使之与电路固有频率一致而发生谐振,也叫调频法。

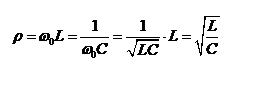
  串联电路谐振时,其电抗X(ωo)=0,所以电路的复阻抗 ,呈现为一个纯电阻,而且阻抗为最小值。谐振时,虽然电抗 ,但感抗与容抗均不为零。谐振时的感抗或容抗为串联谐振电路的特性阻抗,记为ρ,即

  

串联谐振升压原理

  ρ的单位为欧姆,它是一个由电路参数L、C决定的量,与频率无关。

  工程上常用特性阻抗与电阻的比值来表征谐振电路的性能,并称此比值为串联电路的品质因数,用Q表示,即

  品质因数简称为Q值。它是由电路参数R、L、C共同决定的一个无量纲的量。

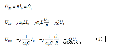
  串联谐振时电路中各元件的电压分别为

  

串联谐振升压原理

  由式(3)可知,谐振时虽然总的电抗电压为0,但电感电压和电容电压均不为0。它们有效值相等,且均为外施电压的Q倍,但电感电压超前外施电压900,电容电压落后外施电压900,电阻电压和外施电压相等且同相,外施电压全部加在电阻R上,电阻上的电压达到了最大值。各元件的电压电流相量关系如图3所示。

  

串联谐振升压原理

  在电路Q值较高时(串联谐振升压装置的Q值一般都大于10,可达10~30),电感电压和电容电压的数值都将远大于外施电压的值,即可以用较小的试验电压在被试设备(如电容式电压互感器)上产生很高的试验电压。从而使谐振激磁电源的容量只需试验容量的1/Q。

  

串联谐振升压原理

  由式(2)的分析知谐振升压方法有工频谐振升压法和变频谐振升压法,工频谐振升压法主要用于发电机、变压器和电容式电压互感器的试验,变频谐振升压法主要用于交联电缆的试验。能满足电缆因长度不同,电容量在较大范围内变化的要求。

  工频谐振升压系统是在工频条件下(现场试验为50Hz)使得电感和被试品电容谐振,产生工频高压。工频谐振升压系统一般采用调节电感感抗的方式在激励源的作用下使得电抗器和被试品电容谐振,通常称为调感式;也可以采用在被试品两端并联电容器的方式改变被试系统的电容量使得在激励源的作用下与电抗器谐振,通常称为调容式;还可以同时改变电抗器的感抗和被试系统的电容量使得系统达到谐振状态,通常称为调感调容式。调感式通常采用调节铁心电抗器的气隙的方式,可以连续平滑的调节感抗值,操作比较方便。电容则不能连续的调节,所以现场操作一般使用调感法或调感调容法。

  电力系统中,有的类型的试品的的电容量是几个固定的量,比如CVT,它只有几个固定的电容值。有的试品是根据试品的容量和电压等级及其他特征而变化的,比如发电机,变压器,电缆等。因此,工频谐振大多分为两类,一类为电抗器电抗值需要连续可调节的,另一种只需要电抗值在几个固定值之间选择的。第一类主要适合发电机和变压器,第二类主要适合CVT。

相关热词:#升压

最新文章
无线遥控器电路图制作无线遥控器电路图制作

时间:2026-03-07

无线电遥控门铃电路原理图无线电遥控门铃电路原理图

时间:2026-03-07

NE555过流保护检测器电路图NE555过流保护检测器电路图

时间:2026-03-07

串联谐振升压原理串联谐振升压原理

时间:2026-03-07

谐振回路的工作原理谐振回路的工作原理

时间:2026-03-07

电容降压电路原理电容降压电路原理

时间:2026-03-07

实用的电容降压电路实用的电容降压电路

时间:2026-03-07

低成本的阻容降压电路原理图分析低成本的阻容降压电路原理图分析

时间:2026-03-07

阻容降压原理及电路阻容降压原理及电路

时间:2026-03-07

阻容降压电路的误区阻容降压电路的误区

时间:2026-03-07

热门文章
彩灯电路彩灯电路

时间:2026-03-05

三相异步电动机原理三相异步电动机原理

时间:2026-03-04

三相异步电动机的七种调速方式三相异步电动机的七种调速方式

时间:2026-03-04

转角测量电路转角测量电路

时间:2026-03-05

经典的正弦波发生电路经典的正弦波发生电路

时间:2026-03-05

电动机单线远程正反转控制电路图电动机单线远程正反转控制电路图

时间:2026-03-04

三相异步电动机的拆装详讲三相异步电动机的拆装详讲

时间:2026-03-04

USB转232电路图USB转232电路图

时间:2026-03-04

电度表的工作原理电度表的工作原理

时间:2026-03-04

电风扇红外遥控器2电风扇红外遥控器2

时间:2026-03-04