当前位置:首页 > 电路图基础 > 正文

两列CMOS接口电路分享

来源:网络  发布者:电工基础  发布时间:2026-03-07 17:12
  CMOS接口电路   光电耦合器(opticalcoupler,英文缩写为OC)亦称光耦合器,简称光耦。光耦合器以光为媒介传输电信号。它对输入、输出电信号有良好的隔离作用,所以,它在各种电路中得到广泛的应用。目前

  CMOS接口电路

  光电耦合器(opticalcoupler,英文缩写为OC)亦称光耦合器,简称光耦。光耦合器以光为媒介传输电信号。它对输入、输出电信号有良好的隔离作用,所以,它在各种电路中得到广泛的应用。目前它已成为种类最多、用途最广的光电器件之一。光耦合器一般由三部分组成:光的发射、光的接收及信号放大。输入的电信号驱动发光二极管LED),使之发出一定波长的光,被光探测器接收而产生光电流,再经过进一步放大后输出。这就完成了电-光-电的转换,从而起到输入、输出、隔离的作用。由于光耦合器输入输出间互相隔离,电信号传输具有单向性等特点,因而具有良好的电绝缘能力和抗干扰能力。又由于光耦合器的输入端属于电流型工作的低阻元件,因而具有很强的共模抑制能力。

  所以,它在长线传输信息中作为终端隔离元件可以大大提高信噪比。在计算机数字通信及实时控制中作为信号隔离的接口器件,可以大大增加计算机工作的可靠性。光耦合器的主要优点是:信号单向传输,输入端与输出端完全实现了电气隔离隔离,输出信号对输入端无影响,抗干扰能力强,工作稳定,无触点,使用寿命长,传输效率高。光耦合器是70年代发展起来产新型器件,现已广泛用于电气绝缘、电平转换、级间耦合、驱动电路开关电路、斩波器、多谐振荡器、信号隔离、级间隔离、脉冲放大电路、数字仪表、远距离信号传输、脉冲放大、固态继电器(SSR)、仪器仪表、通信设备及微机接口中。在单片开关电源中,利用线性光耦合器可构成光耦反馈电路,通过调节控制端电流来改变占空比,达到精密稳压目的。

  

两列CMOS接口电路分享

  CMOS与开关放大器的接口电路

  假如CMOS电路的负载(执行元件)是继电器,则电路必需具有较大的带负载才能。图7-6所示为非门驱动一个分立元件的开关放大器件的接口电路。

  图7-6(a)、(b)中三极管的集电极负载为继电器KA线圈。其工作电流为lOOmA。若晶体管的β=25,则需求4mA的基极电流。这对与非门来说是个拉电流负载。如与非门不能提供这样大的拉电流,可采用图7-6(b)所示的电路。由电阻Ri、二极管VD1和稳压管Vs组成变换电路。当与非门输出高电平常,VD1截止。VS击穿,晶体管VT的基极电流由+15V电源经R1、VS和V1的发射结来提供,VT导通,继电器KA吸合。当与非门输出低电1平常,灌电流经+15V电源经R1、VDi流入与非门,这个电流只要几毫安,这样可防止冈拉电流过大而惹起输出高电平的降落。这时VS截止,VT截止,KA释放。

  

两列CMOS接口电路分享

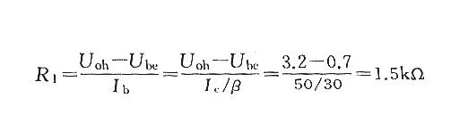
  在图7—6(a)所示电路中,R2普通可取4.7~10kΩ,简化时也可不用。R1的选取应使晶体管取得足够的基极电流而到达饱和。设继电器KA的工作电流为Ic=50mA,晶体管的β=30,而普通CMOS输出高电平Uoh=2.7~4.2V,则

  

两列CMOS接口电路分享

  式中Ube一——管的正向压降,普通取o.65-0.75V。

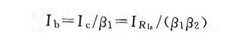
  关于图7-6(c)所示电路,由三极管VT1,VT2组成达林顿电路。其放大倍数β=β1β2(β1、β2分别为VT1和VT2的放大倍数),VT1所需求的基极电流为

  

两列CMOS接口电路分享

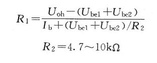
  电阻R1、R2可按下式选取:

  

两列CMOS接口电路分享

相关热词:#CMOS

最新文章
无线遥控器电路图制作无线遥控器电路图制作

时间:2026-03-07

无线电遥控门铃电路原理图无线电遥控门铃电路原理图

时间:2026-03-07

NE555过流保护检测器电路图NE555过流保护检测器电路图

时间:2026-03-07

串联谐振升压原理串联谐振升压原理

时间:2026-03-07

谐振回路的工作原理谐振回路的工作原理

时间:2026-03-07

电容降压电路原理电容降压电路原理

时间:2026-03-07

实用的电容降压电路实用的电容降压电路

时间:2026-03-07

低成本的阻容降压电路原理图分析低成本的阻容降压电路原理图分析

时间:2026-03-07

阻容降压原理及电路阻容降压原理及电路

时间:2026-03-07

阻容降压电路的误区阻容降压电路的误区

时间:2026-03-07

热门文章
彩灯电路彩灯电路

时间:2026-03-05

三相异步电动机原理三相异步电动机原理

时间:2026-03-04

三相异步电动机的七种调速方式三相异步电动机的七种调速方式

时间:2026-03-04

转角测量电路转角测量电路

时间:2026-03-05

经典的正弦波发生电路经典的正弦波发生电路

时间:2026-03-05

电动机单线远程正反转控制电路图电动机单线远程正反转控制电路图

时间:2026-03-04

三相异步电动机的拆装详讲三相异步电动机的拆装详讲

时间:2026-03-04

USB转232电路图USB转232电路图

时间:2026-03-04

电度表的工作原理电度表的工作原理

时间:2026-03-04

电风扇红外遥控器2电风扇红外遥控器2

时间:2026-03-04