rssi和rscp测试差异
电工问答2026-03-05
RSSI RSSI的全称是Receive Signal Strength Indication,是指手机在所在的载频上接收到的全部功率,包括有用信号(当然,其中包含导频信号),本小区内其他用户的干扰,邻区干扰,背景噪声,系统外干扰
电工问答2026-03-05
什么是rrsi Received Signal Strength Indication接收的信号强度指示,无线发送层的可选部分,用来判定链接质量,以及是否增大广播发送强度。
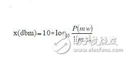
rssi和dbm的转换
电工问答2026-03-05
WIFI衡量接收信号强度可以用直接的RF能量dBm来表示,也可以用RSSI这个相对值。
rssi基本知识和计算
电工问答2026-03-05
基本概念: RSSI:Received Signal Strength Indication接收的信号强度指示,无线发送层的可选部分,用来判定链接质量,以及是否增大广播发送强度。
labview实现网络通信方法与实例
电工问答2026-03-05
点击学习>>《龙哥手把手教你学LabVIEW视觉设计》视频教程 网络通信介绍:
电工问答2026-03-05
高频电子线路是电子与通信技术专业的一门重要专业基础课程,全书系统地介绍了无线通信系统主要单元电路的组成与工作原理。本书的主要内容包括:高频小信号放大器,高频功率放大器,正弦波振荡器,调幅、检波
高频电子线路知识点盘点
电工问答2026-03-05
高频电子线路是电子与通信技术专业的一门重要专业基础课程,全书系统地介绍了无线通信系统主要单元电路的组成与工作原理。本书的主要内容包括:高频小信号放大器,高频功率放大器,正弦波振荡器,调幅、检波
电工问答2026-03-05
高频电子线路是电子与通信技术专业的一门重要专业基础课程,全书系统地介绍了无线通信系统主要单元电路的组成与工作原理。本书的主要内容包括:高频小信号放大器,高频功率放大器,正弦波振荡器,调幅、检波
电工问答2026-03-05
2018年6月27日,2018 世界移动大会-上海(MWCS)在上海新国际博览中心举行,作为科技领域的顶级盛会,超过 600 家国内外优质企业参展,展出了大量的前沿技术和创新产品,吸引了100多个国家和地区的60000+业内人
电工问答2026-03-05
“棱镜门”一出,从各国元首到普通民众深感危机,隐私安全与信息安全再次被广泛讨论。基于电子方式的通信,基于数学方法的密码,已经无法保证不被破解。量子密钥分发可为我们现在的通信建立牢不可破的量子密
基于TCP流协议的数据包通讯
电工问答2026-03-05
一、TCP定义 TCP(Transmission Control Protocol 传输控制协议)是一种面向连接的、可靠的、基于字节流的传输层通信协议,由IETF的RFC 793定义。在简化的计算机网络OSI模型中,它完成第四层传输层所指
串口调试助手怎么用_串口调试助手使用方法
电工问答2026-03-05
串口是嵌入式开发和单片机开发中不可缺少的外设设备,通用也要运用于整个平台。所以如何利用串口调试助手是十分重要的,接下来为大家介绍下如何使用串口调试助手以及串口调试助手使用方法有哪些。
中科院暗物质获重大成果,发现了异常的能谱精细结构
电工问答2026-03-05
北京时间11月30日凌晨2时,暗物质粒子探测卫星“悟空”的首篇论文成果在顶级学术期刊《自然》上在线发表。基于在轨运行的前530天收集的28亿高能宇宙射线,“悟空”科研团队成功获取了目前国际上精度最高的电
电工问答2026-03-05
译者注: 随着尺寸和负载的增长,MySQL的性能会趋于下降。记住这些诀窍,便可保持MySQL的流畅运行。
crc校验简记式意思
电工问答2026-03-05
CRC校验 CRC即循环冗余校验码(Cyclic Redundancy Check):是数据通信领域中最常用的一种查错校验码,其特征是信息字段和校验字段的长度可以任意选定。循环冗余检查(CRC)是一种数据传输检错功能,对
crc校验失败的解决办法
电工问答2026-03-05
CRC校验码是基于将位串看作是系数为0或1的多项式,一个k位的数据流可以看作是关于x的从k-1阶到0阶的k-1次多项式的系数序列。采用此编码,发送方和接收方必须事先商定一个生成多项式G(x),其高位和低位必须
基于Cloud CO架构的PON场景分析
时间:2026-03-05
量子通信是什么意思_量子通信概念
时间:2026-03-05
量子通信原理与技术及发展史
时间:2026-03-05
浅谈区块链在云计算和数据中心领域的作用
时间:2026-03-05
推动5G商用,美国将分配更多的毫米波频谱,实...
时间:2026-03-05
量子通信被炒作,使科学研究陷入困境
时间:2026-03-05
pon技术的特点与原理
时间:2026-03-05
盘点区块链发展的4大硬伤
时间:2026-03-05
盘点CDN的五大盲点
时间:2026-03-05
什么是基站定位_基站定位的原理及特点
时间:2026-03-05
瞬间抑制二极管(TVS)/瞬间抑制二极管(TVS)是...
时间:2026-03-04
什么是霍尔传感器
时间:2026-03-05
半导体材料的主要种类有哪些?
时间:2026-03-04
高级封装,高级封装是什么意思
时间:2026-03-04
数字比较器,数字比较器是什么意思
时间:2026-03-04
常用整流二极管型号大全
时间:2026-03-04
S/HS固态继电器原理简介
时间:2026-03-04
稳压二极管的选用和代换
时间:2026-03-04
TVS器件的电特性有哪些
时间:2026-03-04
TVS二极管的分类/应用,TVS二极管的特点/选用...
时间:2026-03-04