前几天在魔笛社区分享了三个zk-SNARK技术应用的场景,可以让大家zk-SNARK(Groth16)技术和场景的结合有初步的认识。
1. 隐私:ZCash项目
Zcash项目,大家都知道是“隐私交易”。Zcash代表了zk-SNARK的一个应用方向:隐私。隐私有不同的程度,ZCash的隐私交易指的是隐藏交易的发送方,接收方以及交易金额。Zcash已经经历过三个版本:Sprout, Overwinter,Sapling。这三个版本本质上都没有太大的变化,只是支持的功能更多,生成证明更快,体验更好。

一笔转账用Note来表示,包括转账的金额v和一个随机数。Note有两个外在的表现形式:一个是Commitment,一个是Nullifier。Commitment和Nullifier都是通过不同的Hash函数生成。Commitment代表一次金额转入,Nullifier代表一次消费。注意,对于一个Note,Commitment和Nullifier都是唯一的。因为Commitment和Nullifier是Hash的结果,即使这两个数据公开,其他人也无法推断出Commitment和Nullifier之间存在联系。也就是说,提供一个Commitment,能说明进行了一笔转账(具体信息其他人未知)。能提供对应的Nullifier,就能消费。
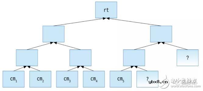
区块链,作为一个隐私转账平台,将所有的Commitment(cm),组成一个Merkle树:

某个用户需要消费某个cm,必须向区块链提供零知识证明:
1/ 他知道一个Note,并能生成一个cm,而且这个cm在以rt为树根的Merkle树上
2/ 用同样的Note信息,能生成一个nullfier,而且这个nullfier之前没有生成过。
以上只是最简单的概括Zcash零知识证明的大体思路,ZCash的设计非常复杂和严谨,有很多细节。顺便说一句,理解ZCash,只需要看ZCash的白皮书protocol.pdf。理解了白皮书的设计,看源代码非常直接。
这就是零知识证明的一个重要的运用方向 - 隐私,现实中还有很多应用类似技术的项目:EYBlockchain(EY,安永),Quorum(JPMorgan)。
2. 链上数据压缩:Filecoin项目
Filecoin是存储行业比较热门的项目。Filecoin想搭建一个去中心化的存储交易平台。去中心化的存储,有个核心问题,怎么证明存储提供方,真实有效的存储了指定的数据。Filecoin是通过PoREP以及PoST算法实现(其中就包括零知识证明)。
PoREP是数据存储证明算法(证明用户数据被正确的处理)。PoRep算法的全称是ZigZag-DRG-PoRep。

Sector中未Seal的原始数据首先依次分成一个个小数据,每个小数据32个字节。这些小数据之间按照DRG(Depth Robust Graph)建立连接关系。按照每个小数据的依赖关系,通过VDE(Verifiable Delay Encode)函数,计算出下一层的所有小数据。整个PoRep的计算过程分为若干层(目前代码设置为4层),仔细观察每一层的DRG关系的箭头方向,上一层向右,下一层就向左,因此得名ZigZag(Z字型)。

每一层的输入称为d(data),每一层的VDE的结果称为r(replica)。对每一层的输入,建构默克尔树,树根为comm_d, 整个树的数据结构称为tree_d。对每一层的输出,建构默克尔树,树根为comm_r,整个树的数据结构称为tree_r。
简单的说,PoREP通过零知识证明,证明每一层的数据都经过VDE计算生成,并提供最后结果的Merkle树的树根。
在数据处理并存储后,每隔一段时间,需要提交存在性证明,也就是PoST算法。PoST算法的基本思想,随机挑选一个Merkle树的叶子节点位置,需要提供出一条Merkle路径的零知识证明。
这个零知识证明的第二个应用方向:链上数据压缩。PoREP算法,通过零知识证明证明数据已经正确处理,并提供了处理后数据形成的Merkle树的树根。PoST,每隔一段时间,随机抽选一个叶子数据,需要存储提供者在一定的时间内提供从该叶子数据到Merkle树根的路径证明。如果,处理完的数据没有保存在一个可靠的存储上,无法在合理的时间内重建整个Merkle树,也就无法提供证明。
3. 扩展性:Loopring DEX 3.0项目
从2017年,路印从“环路撮合”的最初设计,经过了1.0,2.0以及3.0的三个大的版本的协议升级。1.0/2.0,相对来说,受限以太坊本身性能的限制,交易流程复杂,体验和中心化交易所相比,有较大的差距。路印协议3.0,通过zk-SNARK技术,在zk Rollup的基础上,结合DEX的业务场景开发设计,兼顾去中心化和交易性能。
相对1.0,2.0来说,路印协议3.0将所有的撮合逻辑都在链下完成。每一笔撮合(Settlement)都会生成证明并提交到链上,证明链下的撮合正确无误。
路印协议采用和以太一致的“账户”模型,所有的账户的“状态”(余额)都记录在链下。
所有和状态相关的操作,都是在链下更改,提交Proof到链上记录。因为存在链上链下的状态同步,账户的任何操作有三个状态:
1/ Committed (操作已经提交)2/ Verified (该操作已经提供了相应的Proof)3/ Finalized(之前的所有的操作都已经提交正确的Proof)
以用户Deposit“充值”的操作为例:

用户转账到路印协议的智能合约,转账在链上确认(链上完成充值)。该操作的状态就是“Committed”。链下的Relay,监测到“Committed”的状态后,更改链下的状态,生成Proof,并将证明提交到链上,此时该“充值”操作的状态为“Verified” - 链下也已经完成充值。如果之前的所有操作都是Verified,那该操作的状态就是Finalized(也就是这个状态是确定的,不会被篡改的)。
链下的状态用三层的四叉Merkle树来表示:

路印3.0,采用的是zk-SNARK的Groth16算法提供零知识证明。针对每种操作,Relay都会提供对应的ZKP证明电路。以链下撮合为例,相应的电路证明的逻辑如下:

假设Account X链下转账给Account Y。ZKP证明电路,包括:
1/ TradeHistory中Order Ox的变化导致TraderHistory的树根的变化
2/ TradeHistory中Order Oy的变化导致TraderHistory的树根的变化
3/ Balance Bx变化导致Balance的树根的变化
4/ Balance By变化导致Balance的树根的变化
5/ 两个账户的Balance的变化一致
6/ Account X和Account Y账户的变化导致的Account树根的变化
这个是零知识证明的第三个方向:扩展性。在足够多的交易的情况下,路印3.0的TPS在目前的以太坊上达到了350。在君士坦丁堡升级后,TPS能达到1400。每笔交易平均下来的费用大约在1美分。

其他还有一些有意思的项目:其他还有 Coda(零知识递归证明),Mixer(混币),zkPOD(通用数据的交易)等等有意思的场景和应用。
总的来说,零知识证明的技术非常有意思,零知识证明就像一座桥梁,实现现实世界到数字世界的映射。
责任编辑;zl
相关热词:#区块链
为什么需要MOSFET栅极电阻?MOSFET栅极电阻...
时间:2026-03-05
NTC/PTC/CTR热敏电阻是什么?热敏电阻的使用...
时间:2026-03-05
解析单电阻采样的原理以及注意点
时间:2026-03-05
共源极放大器的设计方法
时间:2026-03-05
关于STM32WL LSE 添加反馈电阻后无法起振的...
时间:2026-03-05
如何直观地判断两级放大器的零点位置呢?
时间:2026-03-05
时序分析基本概念介绍<wire load model&...
时间:2026-03-05
电子元器件解析—电阻
时间:2026-03-05
3PEAK高压零漂放大器契合精密应用
时间:2026-03-05
助力绿色5G数字式电流和功率监测芯片-TPA62...
时间:2026-03-05
未来什么技术占主流?会是区块链吗?
时间:2026-03-05
浅谈区块链下的智能合约
时间:2026-03-05
浅显易懂地揭开.Net生态系统的神秘面纱!
时间:2026-03-05
对技术的执着和美的追求变成了程序员的“诗...
时间:2026-03-05
什么是区块链技术_区块链技术解析
时间:2026-03-05
脑洞大开:玻璃窗也能发电?
时间:2026-03-05
如何布置无人值守变电站?
时间:2026-03-05
SCADA系统懂多少?
时间:2026-03-05
灰尘对光伏电站效率影响究竟多大
时间:2026-03-05
一种基于Agent的智能电网集成优化控制策略
时间:2026-03-05