电阻器简称电阻,是电子电路中应用最多的电子元件。电阻器在电路中的作用为:降低电压,分配电压,限制电流。按其制造材料和结构的不同,可有不同的分类方式。不同类型的电阻器,其特点、用途不同。
电阻器的分类也是多种多样的,通常分为三大类:固定电阻、可变电阻、特种电阻。按用途分类有:限流电阻、降压电阻、分压电阻、保护电阻、启动电阻、取样电阻、去耦电阻、信号衰减电阻等;按外形及制作材料分类有:碳膜电阻、硼碳膜电阻、硅碳膜电阻、合成膜电阻、金属膜电阻、氧化膜电阻、实心(包括有机和无机)电阻、压敏电阻、光敏电阻器、热敏电阻、水泥电阻、拉线电阻、贴片电阻等类型。
电阻器也可以按电阻体材料、用途、结构形状、引出线的不同分类,具体含义如图1所示。

一个实际的电阻器,在低频时主要表现为电阻特性,但在高频使用时不仅表现有电阻特性的一面,而且还表现有电抗特性的一面,即同一个电阻元件在通以直流和交流电时测得的电阻值是不相同的。在高频交流下,须考虑电阻元件的引线电感l0和分布c0的影响。

等效电路, r为理想电阻

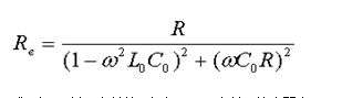
式中ω=2πf, re和xe分别为等效电阻分量和电抗分量,且

式可知re除与f有关外,还与l0、c0有关。这表明当l0、c0不可忽略时,在交流下测此电阻元件的电阻值,得到的将是re而非r值。
分布电容和引线电感越小,表明电阻的高频特性越好。电阻器的高频特性与制作电阻的材料、电阻的封装形状和大小有密切的关系。一般来说,金属膜电阻比线绕电阻的高频特性好;贴片(smd)电阻比普通电阻的高频特性要好;小尺寸电阻比大尺寸电阻的高频特性要好。频率越高,电阻器的高频特性就越明显。在实际使用时,要尽量减少电阻器高频特性的影响,使之表现为纯电阻。
电阻器安装时必须作下述热设计考虑:
a.大型功率电阻器应安装在金属底座上,以便散热;
b.不许在没有散热器情况下,将功率型电阻器直接装在接线端或印制板上;
c.功率电阻器尽可能安装在水平位置;
d.在需要补充绝缘时,需考虑因之带来的散热问题。
e.引线长度应短些,使其和印制电路板的接点能起散热作用。但又不能太短,且最好稍弯曲,以允许热胀冷缩,如用安装架,则要考虑其热胀冷缩的应力;
f.当电阻器成行或成排安装时,要考虑通风的限制和相互散热的影响,并将其适当组合;
高频电路应选用分布电感和分布电容小的非线绕电阻器,例如碳膜电阻器、金属电阻器和金属氧化膜电阻器等。
高增益小信号放大电路应选用低噪声电阻器,例如金属膜电阻器、碳膜电阻器和线绕电阻器,而不能使用噪声较大的合成碳膜电阻器和有机实心电阻器。
线绕电阻器的功率较大,电流噪声小,耐高温,但体积较大。
普通线绕电阻器常用于低频电路或中作限流电阻器、分压电阻器、泄放电阻器或大功率管的偏压电阻器。
精度较高的线绕电阻器多用于固定衰减器、电阻箱、计算机及各种精密仪器中。
导线
导线:可以视为特殊的电阻,其等效电路为纯电阻和寄生电感的串联。

导线中通过的安全电流是根据线芯所允许的最高温度、冷却条件、敷设条件来确定的。一般铜导线的安全载流量为5-8mm2,铝导线的安全载流量为3-5mm2.
中国国家标准gb/t 4706.1-2005规定的电线负载电流值(部分)
1平方毫米铜芯线允许长期负载电流为:6a—8a
1.5平方毫米铜芯线允许长期负载电流为:8a—15a
2.5平方毫米铜芯线允许长期负载电流为:16a—25a
4平方毫米铜芯线允许长期负载电流为:25a—32a
6平方毫米铜芯线允许长期负载电流为:32a—40a
为什么需要MOSFET栅极电阻?MOSFET栅极电阻...
时间:2026-03-05
NTC/PTC/CTR热敏电阻是什么?热敏电阻的使用...
时间:2026-03-05
解析单电阻采样的原理以及注意点
时间:2026-03-05
共源极放大器的设计方法
时间:2026-03-05
关于STM32WL LSE 添加反馈电阻后无法起振的...
时间:2026-03-05
如何直观地判断两级放大器的零点位置呢?
时间:2026-03-05
时序分析基本概念介绍<wire load model&...
时间:2026-03-05
电子元器件解析—电阻
时间:2026-03-05
3PEAK高压零漂放大器契合精密应用
时间:2026-03-05
助力绿色5G数字式电流和功率监测芯片-TPA62...
时间:2026-03-05
电阻的标称阻值和允许偏差
时间:2026-03-05
零欧电阻的功能
时间:2026-03-05
PPTC热敏电阻在电池中的应用
时间:2026-03-05
水泥电阻规格及型号
时间:2026-03-05
气敏电阻的型号命名方法是怎样的
时间:2026-03-05
国巨片式电阻缺货涨价之应对方案 你要知道电...
时间:2026-03-05
RI-80F型高压高阻玻璃釉膜电阻分压器
时间:2026-03-05
电阻器的分类
时间:2026-03-05
电阻的额定功率
时间:2026-03-05
电阻的高频特性
时间:2026-03-05