在考虑电容初始电压之后,用于PWM滤波的二阶RC低通滤波电路在频域的等效电路如下,

二阶RC低通滤波电路
线性电路中,若含有多个独立电源,它们共同作用在某一支路中产生的电压或电流,必定等于各独立电源单独作用产生的电压或电流的代数和,这一定理称为叠加定理。
1)对于电压源而言,电压/电动势为0,就相当于短路。
2)对于电流源而言,电流为0,就相当于开路。
第一部分
PWM输入电源非0,而UC2(0)、UC1(0)为0,等效电路为:

第一部分电压
syms R2 R1 C2 C1 s VH
ZC1=1/(C1*s);%电容C1的阻抗
ZC2=1/(C2*s);%电容C2的阻抗
Z1=R1+ZC1;%Z1为R1与C1串联
Z2=ZC2*Z1/(ZC2+Z1);%Z2为C2与Z1并联
Vo=VH/s*Z2/(Z2+R2)*ZC1/Z1;%C1两端的电压为Z2与R2分压之后,再由C1与R1分压
simplify(Vo)%化简符号表达式
利用octave的符号运算,得到电容C1两端的电压为:

第二部分
UC2(0)非0,PWM输入电源为0,UC1(0)为0,等效电路为:

第二部分电压
syms R2 R1 C2 C1 s VH UC20
ZC1=1/(C1*s);%电容C1的阻抗
ZC2=1/(C2*s);%电容C2的阻抗
Z1=R1+ZC1;%Z1为R1与C1串联
Z2=R2*Z1/(R2+Z1);%Z2为R2与Z1并联
Vo=UC20/s*Z2/(Z2+ZC2)*ZC1/Z1;%C1两端的电压为Z2与C2分压之后,再由C1与R1分压
simplify(Vo)%化简符号表达式
利用octave的符号运算,得到电容C1两端的电压为:

第三部分
UC1(0)非0,PWM输入电源为0,UC2(0)为0,等效电路为:

第三部分电压
syms R2 R1 C2 C1 s VH UC10
ZC1=1/(C1*s);%电容C1的阻抗
ZC2=1/(C2*s);%电容C2的阻抗
Z1=R2*ZC2/(R2+ZC2);%Z1为R2与C2并联
Z2=Z1+R1;%Z2为Z1,R1串联
Vo=UC10/s/(Z2+ZC1)*Z2;%Vo为UC10 Z2与C1在Z2上的分压
simplify(Vo)%化简符号表达式
利用octave的符号运算,得到电容C1两端的电压为:

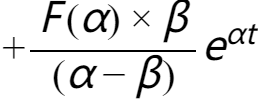
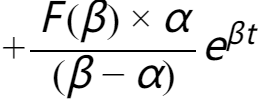
电容C1两端的电压为这三部分电压相加,即:


其中,


假设





对上式做拉普拉斯逆变换,得到:



用泰勒公式展开,并保存至t的二次项,得到:





如果PWM的频率为800Hz,占空比为50%,高电平电压为5.0V,
R1=R2=10kΩ,C1=C2=1uF;
持续输出一段时间,C1、C2处于稳压,在PWM从低电平跳变到高电平的瞬间:
上式中

当t=0.625ms时,得到最大的纹波,为:

这与仿真测得的结果一致。

电路仿真,用示波器测得纹波为162uV
microBUCK® 同步降压稳压器获中国人工智能...
时间:2026-03-12
超薄MTC封装130A~300A三相桥式功率模块具有...
时间:2026-03-12
如何学好单片机?
时间:2026-03-12
总结了60种硬件工程师常用封装实物图
时间:2026-03-12
常用电子元器件的划分与识别
时间:2026-03-12
脑机接口最新科研进展,以“半侵入性”方式...
时间:2026-03-12
国内主要碳化硅衬底供应商产能分析,与海外...
时间:2026-03-12
KT1025A双模蓝牙音频文件加密说明
时间:2026-03-12
晶晨半导体8K智能机顶盒SoC芯片S928X特性解...
时间:2026-03-12
纳微半导体2022年第四季度及全年财报亮眼 ...
时间:2026-03-12
电阻的标称阻值和允许偏差
时间:2026-03-05
玻璃釉电容器的结构与特点
时间:2026-03-05
压敏电阻有正负极吗
时间:2026-03-05
变压器并列运行的条件浅析
时间:2026-03-06
电容器入门教程
时间:2026-03-05
关于STM32WL LSE 添加反馈电阻后无法起振的...
时间:2026-03-05
可调电阻怎么接线
时间:2026-03-05
压敏电阻坏了怎么替代
时间:2026-03-05
压敏电阻爆裂的原因分析
时间:2026-03-05
暑期买元器件下单立减还送华为P30pro
时间:2026-03-05