异或门,异或门是什么意思
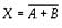
异或门电路即,有2个输入端、1个输出端。当2个输入端中只有一个是高电平时,输出则为高电平;当输入端都是低电平或都是高电平时,输出才是低电平。
异或门电路:


上图为CMOS异或门电路。它由一级或非门和一级与或非门组成。或非门的输出


PoD共识算法的经济模型分析
时间:2026-03-05
如何使用Web3j库管理Java中的ERC20令牌
时间:2026-03-05
基于TruStory体系结构概述
时间:2026-03-05
智能合约的技术运作原理解析
时间:2026-03-05
如何用arcgis画图_arcgis画图教程
时间:2026-03-05
以太币和比特币是如何运作的
时间:2026-03-05
多空持仓人数比的数据思路分析
时间:2026-03-05
如何利用geth crypto模块进行密钥加载测试
时间:2026-03-05
ArcGIS10.2中文版安装教程
时间:2026-03-05
如何构建出LightWork Web应用程序
时间:2026-03-05
瞬间抑制二极管(TVS)/瞬间抑制二极管(TVS)是...
时间:2026-03-04
什么是霍尔传感器
时间:2026-03-05
半导体材料的主要种类有哪些?
时间:2026-03-04
高级封装,高级封装是什么意思
时间:2026-03-04
数字比较器,数字比较器是什么意思
时间:2026-03-04
常用整流二极管型号大全
时间:2026-03-04
S/HS固态继电器原理简介
时间:2026-03-04
稳压二极管的选用和代换
时间:2026-03-04
TVS器件的电特性有哪些
时间:2026-03-04
TVS二极管的分类/应用,TVS二极管的特点/选用...
时间:2026-03-04