交流电路的负载一般用电阻R、电感L及电容C三个基本元件表示。如果忽略电感L、电容C两个因素,只考虑电阻R的作用,这样的电路称为纯电阻电路,如图1所示。

在纯电阻电路中,当电压一定时,影响电流大小的主要因素是电阻R。假设加在电阻R上的正弦交流电压的瞬时值为u=Umsinωf,式中的Um为电压的最大值(V)。根据欧姆定律,则电路中电流的瞬时值为
i=u/R=(Um/R)sinωt
电流的最大值为
Im = Um/R
将等式两边除以√2,则得有效值为
I=U/R
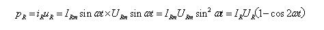
纯电阻电路中的瞬时功率p是个不断变化的值,不便计算。通常用有功功率(平均功率)P表示纯电阻负载在单位时间内实际消耗的电能,其表达式为
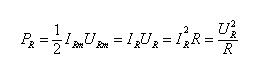
P=UI=I2R=U2/R
式中,P为有功功率(平均功率)(W);R为负载电阻值(Ω);U为负载电阻两端的有效电压(V);I为流过负载的有效电流(A)。
(1)瞬时功率:

可见,纯电阻电路的功率是不断变化的,最大值为:





(2)有功功率:
瞬时功率的平均值叫电阻的有功功率,也叫平均功率,用




因此,用有效值表示电压和电流后,正弦交流纯电阻电路中电压、电流、电阻、功率的计算与直流电路中的电压、电流、功率的计算相同。
电阻元件从电源取用能量后转换成了热能,这是一种不可逆的能量转换过程。
ArcGIS 10.2对地形图进行无缝拼接
时间:2026-03-05
零知识证明的性质原理及应用实例介绍
时间:2026-03-05
区块链应用开发框架Forge介绍
时间:2026-03-05
OVM是如何启用状态通道的
时间:2026-03-05
为什么我们在波卡生态中需要Plasma
时间:2026-03-05
ArcGIS用途_使用ArcGIS能做些什么
时间:2026-03-05
基于加密货币质押模式DAI货币的创造过程介绍
时间:2026-03-05
如何使用C++进行Ontology Wasm合约开发
时间:2026-03-05
ArcGIS Desktop 10.2完全安装教程
时间:2026-03-05
ArcGIS Runtime和ArcGIS Engine、ArcGIS Se...
时间:2026-03-05
电阻的标称阻值和允许偏差
时间:2026-03-05
零欧电阻的功能
时间:2026-03-05
PPTC热敏电阻在电池中的应用
时间:2026-03-05
水泥电阻规格及型号
时间:2026-03-05
气敏电阻的型号命名方法是怎样的
时间:2026-03-05
国巨片式电阻缺货涨价之应对方案 你要知道电...
时间:2026-03-05
RI-80F型高压高阻玻璃釉膜电阻分压器
时间:2026-03-05
电阻器的分类
时间:2026-03-05
电阻的额定功率
时间:2026-03-05
电阻的高频特性
时间:2026-03-05