耦合器/隔离器,耦合器/隔离器原理是什么?
在微波系统中, 往往需将一路微波功率按比例分成几路, 这就是功率分配问题。实现这一功能的元件称为功率分配元器件, 主要包括: 定向耦合器、 功率分配器以及各种微波分支器件。 这些元器件一般都是线性多端口互易网络, 因此可用微波网络理论进行分析。
1. 定向耦合器?
定向耦合器是一种具有定向传输特性的四端口元件, 它是由耦合装置联系在一起的两对传输系统构成的。
如图 5 - 13 所示。 图中“①、 ②”是一条传输系统, 称为主线;“③、④”为另一条传输系统, 称为副线。耦合装置的耦合方式有许多种, 一般有孔、分支线、耦合线等, 形成不同的定向耦合器。
首先介绍定向耦合器的性能指标, 然后介绍波导双孔定向耦合器、双分支定向耦合器和平行耦合微带定向耦合器。
1)定向耦合器的性能指标
定向耦合器是四端口网络, 端口“①”为输入端, 端口“②”为直通输出端, 端口“③”为耦合输出端, 端口“④”为隔离端, 并设其散射矩阵为[S]。描述定向耦合器的性能指标有: 耦合度、隔离度、 定向度、输入驻波比和工作带宽。下面分别加以介绍。

图5-13 定向耦合器的原理图

(2)隔离度?
输入端“①”的输入功率P1和隔离端“④”的输出功率P4之比定义为隔离度,记作I。

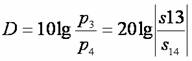
(3)定向度?
耦合端“③”的输出功率P3与隔离端“④”的输出功率P4之比定义为定向度,记作D。

(4) 输入驻波比?
端口“②、 ③、 ④”都接匹配负载时的输入端口“①”的驻波比定义为输入驻波比,记作ρ。

(5)工作带宽?
工作带宽是指定向耦合器的上述C、 I、 D、 ρ等参数均满足要求时的工作频率范围。
2)波导双孔定向耦合器?
波导双孔定向耦合器是最简单的波导定向耦合器, 主、副波导通过其公共窄壁上两个相距d=(2n+1)λg0/4 的小孔实现耦合其中,λg0是中心频率所对应的波导波长, n为正整数, 一般取n=0。耦合孔一般是圆形, 也可以是其它形状。定向耦合器的结构如图 5 - 14(a)所示, 下面简单介绍其工作原理。 ?
根据耦合器的耦合机理, 画出如图 5 - 14(b)所示的原理图。 设端口“①”入射TE10波(u+1=1), 第一个小孔耦合到副波导中的归一化出射波为

和




5-14波导双孔定向耦合器

副波导输出端口“④”合成的归一化出射波为

由此可得波导双孔定向耦合器的耦合度为

小圆孔耦合的耦合系数为

式中, a、b分别为矩形波导的宽边和窄边;r为小孔的半径;β是TE10模的相移常数。而波导双孔定向耦合器的定向度为
当工作在中心频率时, βd=π/2, 此时D→∞; 当偏离中心频率时, secβd具有一定的数值, 此时D不再为无穷大。实际上双孔耦合器即使在中心频率上, 其定向性也不是无穷大, 而只能在30dB左右。
总之,波导双孔定向耦合器是依靠波的相互干涉而实现主波导的定向输出, 在耦合口上同相叠加, 在隔离口上反相抵消。 为了增加定向耦合器的耦合度,拓宽工作频带, 可采用多孔定向耦合器,
2)双分支定向耦合器
双分支定向耦合器由主线、副线和两条分支线组成, 其中分支线的长度和间距均为中心波长的1/4, 如图 5 - 15 所示。 设主线入口线“①”的特性阻抗为






假设输入电压信号从端口“①”经A点输入, 则到达D点的信号有两路, 一路是由分支线直达, 其波行程为λg/4, 另一路由A→B→C→D, 波行程为3λg/4;故两条路径到达的波行程差为λg/2, 相应的相位差为π, 即相位相反。

因此若选择合适的特性阻抗, 使到达的两路信号的振幅相等, 则端口“④”处的两路信号相互抵消, 从而实现隔离。
同样由A→C的两路信号为同相信号, 故在端口“③”有耦合输出信号, 即端口“③”为耦合端。耦合端输出信号的大小同样取决于各线的特性阻抗。 ?
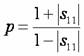
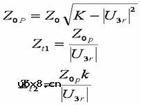
下面给出微带双分支定向耦合器的设计公式。 设耦合端“③”的反射波电压为|U3r|, 则该耦合器的耦合度为

各线的特性阻抗与|


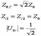
可见, 只要给出要求的耦合度C及阻抗变换比k, 即可由式(5 - 2 - 10)算得|U3r|, 再由式(5 - 2 - 11)算得各线特性阻抗, 从而可设计出相应的定向耦合器。对于耦合度为3dB、阻抗变换比k=1的特殊定向耦合器, 称为3dB定向耦合器, 它通常用在平衡混频电路中。此时

此时散射矩阵为

分支线定向耦合器的带宽受λg/4的限制, 一般可做到

4) 平行耦合微带定向耦合器?
平行耦合微带定向耦合器是一种反向定向耦合器, 其耦合输出端与主输入端在同一侧面, 如图 5 - 16 所示, 端口“①”为输入口, 端口“②”为直通口, 端口“③”为耦合口, 端口“④”为隔离口。 ?

图 5 – 16 平行耦合微带定向耦合器
隔离器
隔离器也叫反向器,电磁波正向通过它时几乎无衰减,反向通过时衰减很大。常用的隔离器有谐振式和场移式两种。 ?
1) 谐振式隔离器?
由于铁氧体具有各向异性,因此在恒定磁场Hi作用下,与Hi方向成左、右螺旋关系的左、右圆极化旋转磁场具有不同的导磁率(分别设为μ-和μ+)。 设在含铁氧体材料的微波传输线上的某一点,沿+z方向传输左旋磁场,沿-z方向传输右旋磁场,两者传输相同距离,但对应的磁导率不同,故左右旋磁场相速不同,所产生相移也就不同,这就是铁氧体相移不可逆性。另一方面,铁氧体具有铁磁谐振效应和圆极化磁场的谐振吸收效应。
所谓铁氧体的铁磁谐振效应,是指当磁场的工作频率ω等于铁氧体的谐振角频率ω0时,铁氧体对微波能量的吸收达到最大值。而对圆极化磁场来说,左、右旋极化磁场具有不同的磁导率, 从而两者也有不同的吸收特性。
对反向传输的右旋极化磁场,磁导率为μ+,它具有铁磁谐振效应,而对正向传输的左极化磁场,磁导率为μ-,它不存在铁磁谐振特性, 这就是圆极化磁场的谐振效应。铁氧体谐振式隔离器正是利用了铁氧体的这一特性制成的。

图 5 – 31 谐振式隔离器的铁氧体位置
铁氧体谐振式隔离器就是在波导的某个恰当位置上放置铁氧体片而制成的, 在这个位置上,往一个方向传输的是右旋磁场, 另一方向上传输的是左旋磁场。图 5 - 31 所示的矩形波导在x=x1处放置了铁氧体, 下面来确定铁氧体片放置的位置。 ?
对于矩形波导TE10模而言, 其磁场只有x分量和z分量, 它们的表达式为

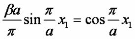
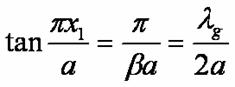
可见两者存在π/2的相差。在矩形波导宽边中心处, 磁场只有Hx分量, 即磁场矢量是线极化的, 且幅度随时间周期性变化, 但其方向总是x方向; 在其它位置上, 若|Hx|≠|Hz|,则合成磁场矢量是椭圆极化的, 并以宽边中心为对称轴, 波导两边为极化性质相反的两个磁场; 当在某个位置x1上有|Hx|=|Hz|时, 合成磁场是圆极化的, 即


解得

进一步分析表明, 对TE10模来说,在x=x1处沿+z方向传输的圆极化磁场不与恒定磁场方向成右手螺旋关系, 即为左旋磁场, 而沿-z方向传输的圆极化磁场则是右旋磁场。可见,应在波导x=x1处放置铁氧体片, 并加上如图 5 - 31 所示的恒定磁场, 使Hi与传输波的工作频率ω满足
ω=ω0=γHi (5 - 4 - 5) ??
式中,ω0为铁氧体片的铁磁谐振频率;γ=2.8×103/4πHz•m/A, 为电子旋磁比。这时, 沿+z方向传输的波几乎无衰减通过, 而沿-z方向传输的波因满足圆极化谐振条件而被强烈吸收, 从而构成了谐振式隔离器。
应该指出的是,若在波导的对称位置x=x2=a-x1处放置铁氧体,则沿+z方向传输的波因满足圆极化谐振条件而被强烈吸收, -z方向传输的波则几乎无衰减地通过。也就是单向传输的方向与前述情形正好相反。另外,由于波导部分填充铁氧体,主模TE10的场会有所变化,因此实际铁氧体的位置与计算的略有差异。
2) 场移式隔离器?
场移式隔离器是根据铁氧体对两个方向传输的波型产生的场移作用不同而制成的。
它在铁氧体片侧面加上衰减片, 由于两个方向传输所产生场的偏离不同,使沿正向(-z方向)传输波的电场偏向无衰减片的一侧,而沿反向(+z方向)传输波的电场偏向衰减片的一侧, 从而实现了正向衰减很小而反向衰减很大的隔离功能,如图 5 - 32所示。
由于场移式隔离器具有体积小,重量轻,结构简单且有较宽的工作频带等特点, 因此在小功率场合得到了较为广泛的应用。
3) 隔离器的性能指标
隔离器是双端口网络, 理想铁氧体隔离器的散射矩阵为


图 5 – 32 场移式隔离器
可见[S]矩阵不满足幺正性,即隔离器是个有耗元件,又由于隔离器是一种非互易元件,故[S]不具有互易性。 ?
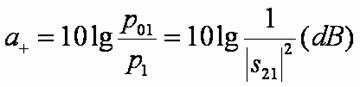
实际隔离器一般用以下性能参量来描述

式中,P01为正向传输输入功率;P1为正向传输输出功率,理想情况下|S21|=1,α+=0;一般希望α+越小越好。 ?
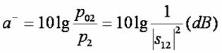
(2)反向衰减量α-

式中,P02为反向传输输入功率;P2为反向传输输出功率; 理想情况下α-→∞。
(3)隔离比R?
将反向衰减量与正向衰减量之比定义为隔离器的隔离比, 即
(4) 输入驻波比ρ?
在各端口都匹配的情况下,我们将输入端口的驻波系数称为输入驻波比,记作ρ,此时

对于具体的隔离器, 希望ρ值接近于1。
相关热词:#电子电路图
为什么需要MOSFET栅极电阻?MOSFET栅极电阻...
时间:2026-03-05
NTC/PTC/CTR热敏电阻是什么?热敏电阻的使用...
时间:2026-03-05
解析单电阻采样的原理以及注意点
时间:2026-03-05
共源极放大器的设计方法
时间:2026-03-05
关于STM32WL LSE 添加反馈电阻后无法起振的...
时间:2026-03-05
如何直观地判断两级放大器的零点位置呢?
时间:2026-03-05
时序分析基本概念介绍<wire load model&...
时间:2026-03-05
电子元器件解析—电阻
时间:2026-03-05
3PEAK高压零漂放大器契合精密应用
时间:2026-03-05
助力绿色5G数字式电流和功率监测芯片-TPA62...
时间:2026-03-05
瞬间抑制二极管(TVS)/瞬间抑制二极管(TVS)是...
时间:2026-03-04
什么是霍尔传感器
时间:2026-03-05
半导体材料的主要种类有哪些?
时间:2026-03-04
高级封装,高级封装是什么意思
时间:2026-03-04
数字比较器,数字比较器是什么意思
时间:2026-03-04
常用整流二极管型号大全
时间:2026-03-04
S/HS固态继电器原理简介
时间:2026-03-04
稳压二极管的选用和代换
时间:2026-03-04
TVS器件的电特性有哪些
时间:2026-03-04
TVS二极管的分类/应用,TVS二极管的特点/选用...
时间:2026-03-04