在考虑电容初始电压之后,用于PWM滤波的二阶RC低通滤波电路在频域的等效电路如下,

二阶RC低通滤波电路
线性电路中,若含有多个独立电源,它们共同作用在某一支路中产生的电压或电流,必定等于各独立电源单独作用产生的电压或电流的代数和,这一定理称为叠加定理。
1)对于电压源而言,电压/电动势为0,就相当于短路。
2)对于电流源而言,电流为0,就相当于开路。
第一部分
PWM输入电源非0,而UC2(0)、UC1(0)为0,等效电路为:

第一部分电压
syms R2 R1 C2 C1 s VH
ZC1=1/(C1*s);%电容C1的阻抗
ZC2=1/(C2*s);%电容C2的阻抗
Z1=R1+ZC1;%Z1为R1与C1串联
Z2=ZC2*Z1/(ZC2+Z1);%Z2为C2与Z1并联
Vo=VH/s*Z2/(Z2+R2)*ZC1/Z1;%C1两端的电压为Z2与R2分压之后,再由C1与R1分压
simplify(Vo)%化简符号表达式
利用octave的符号运算,得到电容C1两端的电压为:

第二部分
UC2(0)非0,PWM输入电源为0,UC1(0)为0,等效电路为:

第二部分电压
syms R2 R1 C2 C1 s VH UC20
ZC1=1/(C1*s);%电容C1的阻抗
ZC2=1/(C2*s);%电容C2的阻抗
Z1=R1+ZC1;%Z1为R1与C1串联
Z2=R2*Z1/(R2+Z1);%Z2为R2与Z1并联
Vo=UC20/s*Z2/(Z2+ZC2)*ZC1/Z1;%C1两端的电压为Z2与C2分压之后,再由C1与R1分压
simplify(Vo)%化简符号表达式
利用octave的符号运算,得到电容C1两端的电压为:

第三部分
UC1(0)非0,PWM输入电源为0,UC2(0)为0,等效电路为:

第三部分电压
syms R2 R1 C2 C1 s VH UC10
ZC1=1/(C1*s);%电容C1的阻抗
ZC2=1/(C2*s);%电容C2的阻抗
Z1=R2*ZC2/(R2+ZC2);%Z1为R2与C2并联
Z2=Z1+R1;%Z2为Z1,R1串联
Vo=UC10/s/(Z2+ZC1)*Z2;%Vo为UC10 Z2与C1在Z2上的分压
simplify(Vo)%化简符号表达式
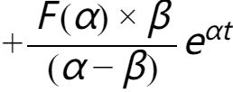
利用octave的符号运算,得到电容C1两端的电压为:

电容C1两端的电压为这三部分电压相加,即:


其中,


假设





对上式做拉普拉斯逆变换,得到:



用泰勒公式展开,并保存至t的二次项,得到:





如果PWM的频率为800Hz,占空比为50%,高电平电压为5.0V,
R1=R2=10kΩ,C1=C2=1uF;
持续输出一段时间,C1、C2处于稳压,在PWM从低电平跳变到高电平的瞬间:
上式中

当t=0.625ms时,得到最大的纹波,为:

这与仿真测得的结果一致。

电路仿真,用示波器测得纹波为162uV
相关热词:
基于逻辑门的构成解释如何完成任意逻辑的管...
时间:2026-03-08
有源钳位技术解析
时间:2026-03-08
从0学电路,万用表演示测量三极管方法
时间:2026-03-08
NE555的有趣电路设计分享
时间:2026-03-08
电路系统常用的图形符号
时间:2026-03-08
看下三极管的应用电路
时间:2026-03-08
H桥电机驱动电路解析
时间:2026-03-08
光耦在电子电路中作用、关键参数详解
时间:2026-03-08
理解了这几个基础电路,模电分析就不难了
时间:2026-03-08
遥控器背光照明电路原理详解
时间:2026-03-08
彩灯电路
时间:2026-03-05
电动机单线远程正反转控制电路图
时间:2026-03-04
三相异步电动机的拆装详讲
时间:2026-03-04
三相异步电动机原理
时间:2026-03-04
USB转232电路图
时间:2026-03-04
三相异步电动机的七种调速方式
时间:2026-03-04
转角测量电路
时间:2026-03-05
经典的正弦波发生电路
时间:2026-03-05
电风扇红外遥控器2
时间:2026-03-04
电度表的工作原理
时间:2026-03-04