当前位置:首页 > 电路图基础 > 正文

影响电源转换器在高频条件EMI特性的辐射发射

来源:网络  发布者:电工基础  发布时间:2026-03-08 08:59
辐射电磁干扰 (EMI) 是一种在特定环境中动态出现的问题,与电源转换器内部的寄生效应、电路布局和元器件排布及其在运行时所处的整体系统相关。因此,从设计工程师的角度出发,辐射 EMI 的问题通常更具挑战性,复杂

辐射电磁干扰 (EMI) 是一种在特定环境中动态出现的问题,与电源转换器内部的寄生效应、电路布局和元器件排布及其在运行时所处的整体系统相关。因此,从设计工程师的角度出发,辐射 EMI 的问题通常更具挑战性,复杂度更高,在系统主板使用多个 DC/DC 功率级时尤为如此。了解辐射 EMI 的基本机制以及测量要求、频率范围和相应限制条件至关重要。本文重点介绍这些方面的内容,展示辐射 EMI 测量装置以及两个 DC/DC 降压转换器的结果。

近场耦合

图 1 概略介绍了噪声源与受干扰电路之间基本 EMI 耦合模式特别是电感或 H 场耦合需要 di/dt 较高的时变电流源和两条磁耦合回路(或带有返回路径的平行导线)。另一方面,电容或 E 场耦合需要 dv/dt 较高的时变电压源和两块紧邻的金属板。这两种机制均属于近场耦合,其中的噪声源与受干扰电路非常接近,可使用近场嗅探器进行测量。

影响电源转换器在高频条件EMI特性的辐射发射

图 1:EMI 耦合模式

例如,现代电源开关,特别是氮化镓 (GaN) 和碳化硅 (SiC) 基晶体管,其输出电容 COSS 较低,栅极电荷 QG 较少,能够以极高的 dv/dt 和 di/dt 转换率进行开关。相邻电路发生 H 场和 E 场耦合以及串扰的可能性很高。然而,随着互感或电容减小,耦合结构的间距增大,近场耦合显著减弱。

远场耦合

典型的电磁 (EM) 波以 E 场和 H 场组合的形式传播。辐射天线源附近的场结构为复杂的三维模式。从辐射源进一步分析,远场区域中的 EM 波由彼此正交并且与传播方向正交的 E 场和 H 场分量组成。图 2 展示了这种平面波,它代表辐射 EMI 的主要基准,受到各种辐射标准的约束。

影响电源转换器在高频条件EMI特性的辐射发射

图 2:电磁平面波传播

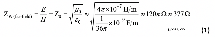
图 3 所示的波阻抗等于电场强度与磁场强度之比。远场区域中的 E 和 H 分量同相,因此远场阻抗呈阻性,具体值可通过麦克斯韦方程(如方程 1 所示)的平面波解决方案计算:

影响电源转换器在高频条件EMI特性的辐射发射

如果 λ 是波长,F 是所需频率,方程 2 通常表示近场和远场区域之间的边界:

影响电源转换器在高频条件EMI特性的辐射发射

然而,该边界不是精确的标准,仅用于指示一般性过渡区域(图 3 中描述为 l/16 至 3l),其中的场从复杂的分布形态演变为平面波。

影响电源转换器在高频条件EMI特性的辐射发射

图 3:麦克斯韦定律中近场和远场区域的波阻抗

鉴于多数天线设计用于检测和响应电场,辐射的电磁波通常称为垂直或水平极化,具体取决于电场方向。测量 E 场天线一般应与传播的 E 场在同一平面中定向,从而检测最大场强。因此,辐射 EMI 测试标准通常介绍接收天线以垂直和水平极化方式安装时的测量。

工业和多媒体设备中的辐射 EMI

表 1 列出了联邦通信委员会 (FCC) 第 15 部分 B 子节针对无意辐射体规定的 A 类和 B 类辐射发射限值。此外,本规范第 15.109(g) 条允许在使用美国国家标准协会 (ANSI) C63.4-2014 规定的测量方法时,使用国际无线电干扰特别委员会 (CISPR) 22 规定的辐射发射限值(如表 2 所述)。表 1 和表 2 中规定的限值均针对低于 1GHz 的频率,使用 CISPR 准峰值 (QP) 检测器功能,分辨率带宽 (RBW) 为 120kHz。表 3 和表 4 规定的限值针对 1GHz 以上的频率,此时使用峰值 (PK) 和平均 (AVG) 检测器以及分辨率带宽为 1MHz 的接收器

对于指定的测量距离,B 类民用或家用应用限制通常比 A 类商用或工业应用限制更严格,通常高出 6dB 至 10dB。另请注意,表 1 和表 2 还包括一个按照 15.31(f)(1) 使用的 20 dB/dec 的反向线性距离 (1/d) 比例系数,针对 3m 和 10m 天线测量距离对应的限值进行归一化处理,从而确定合规性。例如,如果将天线放置在 3 米而非 10 米的位置,从而保持在测试设备边界内,则限制幅值调整约 10.5dB。

表 1:按照 47 CFR 15.109(a) 和 (b) 标准规定的 30MHz 到 1GHz 范围的辐射发射场强 QP 限值

影响电源转换器在高频条件EMI特性的辐射发射

表 2:按照 47 CFR 15.109(g)/CISPR 22/32 标准规定的 30MHz 到 1GHz 范围的辐射发射场强 QP 限值

影响电源转换器在高频条件EMI特性的辐射发射

表 3:按照 47 CFR 15.109(a) 和 (b) 标准规定的 1GHz 到 6GHz 范围的辐射发射场强限值

影响电源转换器在高频条件EMI特性的辐射发射

表 4:按照 47 CFR 15.109(g)/CISPR 22/32 标准规定的 1GHz 到 6GHz 范围的辐射发射场强限值

影响电源转换器在高频条件EMI特性的辐射发射

图 4 展示了当天线距离为 3m 时,A 类和 B 类相关限值的图象。符合 FCC 的设计包括采用 Bluetooth® 低能耗技术的气体传感器实施方案,其由电池供电,可从德州仪器 (TI) 购买。用户可下载有关此设计的FCCA类合规性报告,其中列出辐射发射测试数据和图象,以便查阅相关信息。

影响电源转换器在高频条件EMI特性的辐射发射

图 4:FCC 第 15 部分和 CISPR 22 的 A 类和 B 类辐射限值(对于低于和高于 1GHz 这两种条件,分别使用 QP 和 AVG 检测器)

如图 5 所示,辐射 EMI 测试程序包括将待测设备 (EUT) 和支持设备放置在半消声室 (SAC) 或开阔试验场 (OATS) 内的非导电转盘(高出基准接地平面 0.8m)之上,遵循 CISPR 16-1 中所定义。EUT 设置在与安装于天线塔上的接收天线相距 3m 的位置。

使用经校准的宽带天线(双锥形天线和对数周期天线组合,或者 Bilog 天线)的 PK 检测器预扫描功能,沿水平和垂直两种天线极化方向对 30MHz 到 1GHz 的辐射发射进行检测。这种探究性测试可以确定所有重要发射的频率。执行该测试后,使用 QP 检测器检查相关的故障点,记录最终合规测量值。

在测试期间,EMI 接收器的 RBW 设置为 120kHz。配置天线的水平和垂直极化方向(将其相对于接地平面旋转 90°),并将高度调整为高出接地平面 1m 到 4m,以便在考虑地面反射时,将每个测试频率对应的场强读数最大化。在测量期间,可将转盘上的 EUT 在 0 到 360° 之间旋转,使天线与 EUT 之间的方位角发生变化,以便根据 EUT 的方位获得最大场强读数。天线位于 EUT 的远场区,对应于 3m 天线距离,频率为 15.9MHz。

影响电源转换器在高频条件EMI特性的辐射发射

图 5:FCC 第 15 部分和 CISPR 22/32 对应的辐射发射测量装置

可以使用喇叭天线针对 1GHz 以上的频率执行 PK 检测器预扫描,然后在接近限制时使用 AVG 检测器。EMI 接收器的 RBW 设置为 1MHz。天线方向明确,因此无需执行高度扫描,接地平面和暗室壁的反射也很难造成干扰。然而,EUT 在这些频率下的辐射发射方向性更强,因此转盘再次旋转 360 度,确定天线极化方向以获得最大响应。根据表 5,测量频率的上限范围随 EUT 的最高内部频率发生变化。

表5:辐射发射最大测量频率(基于 EUT 内部时钟源的最高频率)

影响电源转换器在高频条件EMI特性的辐射发射

辐射发射测试以每米若干分贝/微伏 (dB/mV) 为单位校准电场强度。天线因子 (AF) 是天线平面产生的电场 (mV/m) 与频谱分析仪 (SA) 或扫描 EMI 接收器测得的电压 (dB/mV) 之比。一般而言,校正的发射电平由方程 3 推导得出,推导时将 AF、电缆损耗 (CL)、衰减器和 RF 限制器损耗因子 (AL) 以及放大器预增益 (AG) 考虑在内。

影响电源转换器在高频条件EMI特性的辐射发射

图 6 所示为 LMR16030 60V/3A 降压转换器辐射发射测试装置的照片和结果。测量条件为 24V 输入、5V 输出、3A 负载电流和 400kHz 开关频率。

影响电源转换器在高频条件EMI特性的辐射发射

图 6:CISPR 22 辐射 EMI 测试:测试装置照片 (a);水平和垂直极化天线的辐射 EMI 结果 (b)

汽车系统中的辐射 EMI

尽管屏蔽电缆可以削弱汽车系统中的干扰效应,但 EMI 可通过串扰“有效地”在易受影响的电路中耦合。在场线耦合效应的作用下,对于体积相对较小但电源分布密集、信号通过电缆束的车辆,辐射排放还可能导致信号互连出现辐射抗扰问题。基于上述原因,评估 EMI 性能便成为汽车工程师在设计和测试电动汽车时重点关注的问题。

UNECE 10 号法规和 CISPR 25

CISPR 12 和 CISPR 25 均为国际标准,提供无线电干扰测量的限值和程序,分别为汽车的车载和非车载接收器提供保护。CISPR 25 特别适用于汽车级别,也适用于所有车用电子组件 (ESA)。与其他标准相比,CISPR 25 通常作为汽车制造商及其供应商定义产品规格的基础,但不是评定合规性和遵从情况的基准。自欧盟电动汽车 EMC 指令废止后,联合国欧洲经济委员会 (UNECE) 第 10 条规定中出现这一差别。

CISPR 25 针对车辆元器件排放测量定义了数种方法和限值类别,兼顾宽带 (BB) 源和窄带 (NB) 源。图 7 说明了针对元器件/模块使用 PK 和 AVG 检测器的 5 类限值。测量对象为车辆中工作在广播和移动服务频带中的接收器。最低测量频率涉及 150kHz 至 300kHz 的欧洲长波 (LW) 广播频带,最高频率为 2.5GHz(考虑蓝牙传输)。

影响电源转换器在高频条件EMI特性的辐射发射

图 7:使用内衬吸收器的屏蔽外壳 (ALSE) 方法,通过峰值和平均值检测器(线性频率标度)测得的元器件/模块的 CISPR 25 5 类辐射限值

对于 30MHz 以下和以上两种条件下的检测,扫描接收器的 RBW 分别为 9kHz 和 120kHz。例外情况是 GPS L1 民用(1.567GHz 至 1.583GHz)和全球导航卫星系统 (GLONASS) L1(1.591GHz 至 1.613GHz)频段。在这两种频段下,需要 9kHz 的 RBW 和 5kHz 的最大步长,从而在仅使用 AVG 检测器的情况下检测出相应的 NB 发射。

CISPR 25 的天线系统

使用额定输出阻抗为 50Ω 的线性极化电场天线进行测量。表 6 和图 8 显示了 CISPR 25 建议使用的天线,可提升不同实验室所提供结果的一致性。

表 6:根据 CISPR 25,建议使用电场天线;双锥形天线和对数周期天线存在叠加频率,而 Bilog 天线覆盖了二种天线各自的频率范围。

影响电源转换器在高频条件EMI特性的辐射发射

影响电源转换器在高频条件EMI特性的辐射发射

图 8:符合 CISPR 25 规范的测量天线

对于低频测量,使用带地网的无源/有源拉杆单极天线。双锥形和对数周期偶极子阵列 (LPDA) 天线通常分别覆盖 30MHz 至 200MHz 和 200MHz 至 1GHz 的频率范围。最后,双脊喇叭天线 (DRHA) 通常用于 1GHz 至 2.5GHz。宽带 Bilog 天线的外型比双锥形或对数周期天线更大,有时用于覆盖 30MHz 至 1GHz 的频率范围。

使用 ALSE 进行辐射 EMI 测试

图 9、10 和 11 所示为使用 CISPR 25 ALSE 方法(也称天线方法)的典型装置,针对表 6 中规定的频率范围进行辐射发射测量。

EUT 和电缆束放置在高出接地平面 50mm 的非导体介电材料(相对介电常数 εr 较低,不高于 1.4)之上。与接地平面前部平行的线束长度为 1.5m,EUT 与负载模拟器之间测试线束的总长度不超过 2m。测试线束的长段平行于接地平面朝向天线的边缘,与边缘相距 100mm。接地平面的要求是最小宽度和长度分别为 1m 和 2m,或者在整个设备下方加上 200mm,取其中的较大值。根据方程式 2 给定的近远场转换以及 1m 天线距离,在 EUT 的近场区域进行测量时,频率必须低于 48MHz。

影响电源转换器在高频条件EMI特性的辐射发射

图 9:单极拉杆天线(150kHz 至 30MHz)的 CISPR 25 辐射发射测量装置

影响电源转换器在高频条件EMI特性的辐射发射

图 10:双锥形天线(30MHz 至 300MHz)或对数周期天线(200MHz 至 1GHz)的 CISPR 25 辐射发射测量装置

影响电源转换器在高频条件EMI特性的辐射发射

图 11:喇叭天线(1GHz 以上)的 CISPR 25 辐射发射测量装置

喇叭天线与 EUT 对齐,其他天线则放置在线束中点。执行所有测量时,天线距离均为 1 米。频率范围为 150kHz 至 30MHz 的测量仅针对垂直天线极化执行。频率范围为 30MHz 至 2.5GHz 的扫描同时针对水平极化和垂直极化执行。

如前文所述,EMI 接收器与 AF 结合所检测到的天线电压可在天线位置产生电场强度。请注意,独立的 AF 可用于水平和垂直极化,因此可以使用相应的 AF 值对每个极化方向进行测量。

辐射 EMI 预合规测试及结果

图 12 为 LM53635-Q1 汽车级同步降压转换器 [9] 辐射发射测试装置的照片。EUT 由汽车电池供电,正负供电线路均连接线路阻抗稳定网络 (LISN)。3.5A 阻性负载下的输出为 3.3V。开关频率为 2.1MHz,高于许多汽车系统所需的 AM 频带,同时启用了扩频调频 (SSFM)。图 13 至 16 显示了使用各种测试天线通过 CISPR 25 5 类限值要求的测量结果。

影响电源转换器在高频条件EMI特性的辐射发射

图 12:CISPR 25 预合规测量装置照片

影响电源转换器在高频条件EMI特性的辐射发射

图 13:辐射发射结果:150kHz 至 30MHz,拉杆天线,垂直极化

影响电源转换器在高频条件EMI特性的辐射发射

图 14:辐射发射结果:30MHz 至 300MHz,双锥形天线,水平和垂直极化

影响电源转换器在高频条件EMI特性的辐射发射

图 15:辐射发射结果:200MHz 至 1GHz,对数周期天线,水平和垂直极化

影响电源转换器在高频条件EMI特性的辐射发射

图 16:辐射发射结果:1GHz 至 2.5GHz,喇叭天线,水平极化

结论

辐射发射影响电源转换器在高频条件的 EMI 特性 [10]。辐射测试的上限频率扩展到 1GHz 甚至更高(取决于规范),远高于传导发射。虽然不像传导发射测试那样简单直接,但辐射发射测量对于合规测试不可或缺,很容易成为产品开发过程中的瓶颈。

对于汽车应用,由于长度原因,电缆束在低频条件下主要采用辐射结构。测得的辐射发射曲线主要来源于所连接电缆中的共模电流,由印刷电路板 (PCB) 与电缆之间的近场电耦合驱动。我将在本文的后续章节探讨辐射 EMI 减弱技术。

审核编辑:郭婷

相关热词:

相关内容
月度热门TAG关键词
线形2n39062n3904三极管替换差动放大器2sc1815c2073bu406万用测试表倒置状态三极管开关电路三极管振荡电路三极管8050光电三极管3dd15dtip41c开关三极管贴片三极管高频三极管高频管TO-220光电晶体管放大器件BC547微波三极管NPN型三极管恒流源漏极电流NPN三极管S8050
最新文章
基于逻辑门的构成解释如何完成任意逻辑的管级电路设计基于逻辑门的构成解释如何完成任意逻辑的管...

时间:2026-03-08

有源钳位技术解析有源钳位技术解析

时间:2026-03-08

从0学电路,万用表演示测量三极管方法从0学电路,万用表演示测量三极管方法

时间:2026-03-08

NE555的有趣电路设计分享NE555的有趣电路设计分享

时间:2026-03-08

电路系统常用的图形符号电路系统常用的图形符号

时间:2026-03-08

看下三极管的应用电路看下三极管的应用电路

时间:2026-03-08

H桥电机驱动电路解析H桥电机驱动电路解析

时间:2026-03-08

光耦在电子电路中作用、关键参数详解光耦在电子电路中作用、关键参数详解

时间:2026-03-08

理解了这几个基础电路,模电分析就不难了理解了这几个基础电路,模电分析就不难了

时间:2026-03-08

遥控器背光照明电路原理详解遥控器背光照明电路原理详解

时间:2026-03-08

热门文章
彩灯电路彩灯电路

时间:2026-03-05

电动机单线远程正反转控制电路图电动机单线远程正反转控制电路图

时间:2026-03-04

三相异步电动机的拆装详讲三相异步电动机的拆装详讲

时间:2026-03-04

三相异步电动机原理三相异步电动机原理

时间:2026-03-04

USB转232电路图USB转232电路图

时间:2026-03-04

三相异步电动机的七种调速方式三相异步电动机的七种调速方式

时间:2026-03-04

转角测量电路转角测量电路

时间:2026-03-05

经典的正弦波发生电路经典的正弦波发生电路

时间:2026-03-05

电风扇红外遥控器2电风扇红外遥控器2

时间:2026-03-04

电度表的工作原理电度表的工作原理

时间:2026-03-04