抗混迭滤波器,什么是抗混迭滤波器
背景知识:基本原理:抗混叠滤波器g(n)的输入和输出之间的卷积关系如下

下采样器的输入信号x(n)和输出信号y(n)之间存在下列关系

抗混叠滤波器的截止频率:
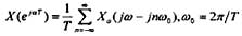
由上式 ,可以推出下采样器输入信号x(n)和输出信号y(n)在频率域存在下列关系

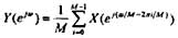
从上式,可以看出Y(





就可以避免混叠。一般为了在以M因子减采样时避免混叠,就要求

如果这个条件不满足,就会发生混叠。因此,在对信号x(n)进行下M采样之前须要用一个截止频率为川M的理想低通滤波器g(n)进行过滤(这样的滤波器称为抗混叠滤波器),将其频带限制在л/M以内,所以抗混叠滤波器g(n)的截止频率应为л/M 。抗混叠滤波器在通带内的增益: 我们假设采样器的输入x(n)是连续时间信号


离散信号x(n)的周期频谱X(


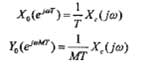
同样地,可以将下采样器的输出y(n)看作是以采样周期MT对Xc(t)进行采样得到的样本,即:

相应的周期频谱是:

比较上面两式中的基带频谱,即在和式中n取0,有

由上式可以看出:尺度因子1/M可以在下M采样这一过程本身获得,因此理想抗混叠滤波器g(n)在通带内的增益为1,阻带内的增益为0。所以引进目标函数:
其中y, a为权系数,G(o))为g(n)的傅立叶变换,2二为过渡带宽。
为什么需要MOSFET栅极电阻?MOSFET栅极电阻...
时间:2026-03-05
NTC/PTC/CTR热敏电阻是什么?热敏电阻的使用...
时间:2026-03-05
解析单电阻采样的原理以及注意点
时间:2026-03-05
共源极放大器的设计方法
时间:2026-03-05
关于STM32WL LSE 添加反馈电阻后无法起振的...
时间:2026-03-05
如何直观地判断两级放大器的零点位置呢?
时间:2026-03-05
时序分析基本概念介绍<wire load model&...
时间:2026-03-05
电子元器件解析—电阻
时间:2026-03-05
3PEAK高压零漂放大器契合精密应用
时间:2026-03-05
助力绿色5G数字式电流和功率监测芯片-TPA62...
时间:2026-03-05
瞬间抑制二极管(TVS)/瞬间抑制二极管(TVS)是...
时间:2026-03-04
什么是霍尔传感器
时间:2026-03-05
半导体材料的主要种类有哪些?
时间:2026-03-04
高级封装,高级封装是什么意思
时间:2026-03-04
数字比较器,数字比较器是什么意思
时间:2026-03-04
常用整流二极管型号大全
时间:2026-03-04
S/HS固态继电器原理简介
时间:2026-03-04
稳压二极管的选用和代换
时间:2026-03-04
TVS器件的电特性有哪些
时间:2026-03-04
TVS二极管的分类/应用,TVS二极管的特点/选用...
时间:2026-03-04