接地变压器按接线方式分为ZNyn接线(Z型)或YNd接线两种,其中性点可接人消弧线圈或接地电阻接地。现在多采用Z型(曲折型)接地变压器经消弧线圈或小电阻接地。
Z型接地变压器有油浸式和干式绝缘两种,其中树脂浇注式是干式绝缘的一种,其在结构上与普通三相芯式电力变压器相同,只是每相铁芯上的绕组分为上、下相等匝数的两部分,然后把每一相绕组的末端与另一相绕组的末端反接串联。两段绕组极性相反,组成新的一相,接成曲折形连接,将每相上半部绕组首端U1、V1、W1引出来分别接A、B、C三相交流电,将下半部首端U2、V2、W2连在一起作为中性点接相应的接地电阻或消弧线圈,如图所示。Z型接地变压器按接线方式不同,又分为ZNvn1和ZNyn11两种形式。
Z型接地变压器还可装有低压绕组,接成星形中性点接地(yn)等方式,作为站用变压器使用。

图 Z型接地变压器与小电阻或消弧线圈接线方式
Z型变压器曲折接法的优点:①在单相短路时,接地电流在三相绕组中大致均匀分配,每个柱上的两个绕组的磁势相反,所以不存在阻尼作用,电流可以畅通地从中性点流向线路;②绕组相电压中无三次谐波分量,因为曲折联结的三单相变压器组,因三次谐波特点是向量同方向同大小,因绕制方法,则每相中三次谐波电动势互相抵消,相电动势接近正弦波。
Z型接地变压器同一铁芯柱上两半部分绕组中的零序电流方向是相反的,因此零序电抗很小,对零序电流不产生扼流效应。其降低零序阻抗的原理是:在接地变压器三相铁芯的每一相都有两个匝数相等的绕组,分别接不同的相电压。当接地变压器线端加入三相正、负序电压时,接地变压器每一铁芯柱上产生的磁通势是两相绕组磁通势的相量和。单个铁芯柱上的合成磁通势相差120°,是一组三相平衡量。单相磁通势可在三个铁芯柱上互相形成磁通路,磁阻小,磁通量大,感应电动势大,呈现很大的励磁阻抗。当接地变压器三相线端加零序电压时,在每个铁芯柱上的两个绕组中产生的磁通势大小相等,方向相反,合成的磁通势为零,三相铁芯柱上没有零序磁通势。零序磁通势只能通过外壳和周围介质形成闭合回路,磁阻很大,零序磁通势很小,所以零序阻抗也很小。
为适应配电网采用消弧线圈接地补偿的需要,同时也能满足变电站站用动力与照明负载的需要,选用Z型接线连接的变压器,需要合理设置接地变压器的主要参数。
(1)额定容量
接地变压器一次侧容量与需要与消弧线圈容量相配套。依据现有消弧线圈的容量规格,建议把接地变压器容量设为消弧线圈容量的1.05-1.15倍。如1台200kVA消弧线圈所配用的接地变压器容量为215kVA。
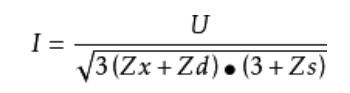
(2)中性点补偿电流
单相故障时流过变压器中性点的总电流:

上式中:U为配电网线电压(V);Zx为消弧线圈的阻抗(Ω);Zd为接地变压器一次零序阻抗(Ω/相);Zs为系统阻抗(Ω);中性点补偿电流的持续时间应与消弧线圈的持续工作时间相同,按规定为2小时。
(3)零序阻抗
零序阻抗是接地变压器的重要参数,对于继电保护限制单相接地短路电流及抑制过电压等都有重要影响。对于无二级线圈的曲折形(Z型)以及星性/开口三角形联结的接地变压器只有1个阻抗,即零序阻抗,这样制造部门能满足电力部门的要求。
(4)损耗
损耗是接地变压器的1个重要性能参数,对于带有二次线圈的接地变压器,其空载损耗可以做到与同容量的双绕组变压器相同。对于负载损耗,二次侧满载运行时,由于一次侧负荷较轻,其负载损耗小于与二次侧同容量双绕组变压器的负载损耗。
(5)温升
按国标对接地变压器的温升有如下规定:
1)额定持续电流下的温升应符合一般电力变压器干式变压器国标中的规定,但主要适用于二次侧经常带负荷的接地变压器;
2)对短时负载电流的持续时间在10s以内时(这种情况主要发生在中性点与电阻联结时),其温升应符合国标电力变压器中对短路条件下的温升限值的规定;
3)接地变压器与消弧线圈一起运行时其温升应符合对消弧线圈温升的规定:
对于持续流过额定电流的绕组温度为80K,主要适用于星性/开口三角形联结的接地变压器;
对于额定电流的最大流通时间规定为2h的绕组,规定温度为100K。这种情况符合多数接地变压器的工作条件;
对于最大流通时间规定为30min的绕组,规定温度为120K。
上述规定的出发点,是根据在最严重的条件下绕组热点的最高温度不超过140℃~160℃,以保证绝缘的安全运行和不至于严重危及绝缘寿命而规定
相序继电器工作原理的全面介绍
时间:2026-03-06
热保护器的工作原理解析
时间:2026-03-06
热敏干簧继电器是什么
时间:2026-03-06
电动机保护元件:热继电器的三种过载保护形...
时间:2026-03-06
电磁型电流继电器的动作条件
时间:2026-03-06
继电器PLC和晶体管PLC区别
时间:2026-03-06
场效应管时间继电器是怎样工作的?
时间:2026-03-06
电路板式继电器
时间:2026-03-06
继电器电路故障
时间:2026-03-06
继电器的作用及触点故障处理方法
时间:2026-03-06
玻璃釉电容器的结构与特点
时间:2026-03-05
关于STM32WL LSE 添加反馈电阻后无法起振的...
时间:2026-03-05
电阻的标称阻值和允许偏差
时间:2026-03-05
LED固晶机龙头直面“寒冬”
时间:2026-03-05
浅谈高压贴片电容分类与性能参数
时间:2026-03-05
聚四氟乙烯电容器的结构与特点
时间:2026-03-05
漆膜电容器的结构与特点
时间:2026-03-05
复合介质电容器的结构与特点
时间:2026-03-05
瓷介电容器的结构与特点
时间:2026-03-05
电解电容器的结构与特点
时间:2026-03-05