01
石英晶振的特性及模型
石英晶体是一种可将电能和机械能相互转化的压电器件,能量转变发生在共振频率点上。
它可用如下模型表示:

C0:等效电路中与串联臂并接的电容,其值一般仅与晶振的尺寸有关。
Lm:(动态等效电感)代表晶振机械振动的惯性。
Cm:(动态等效电容)代表晶振的弹性。
Rm:(动态等效电阻)代表电路的损耗。
晶振的阻抗可表示为以下方程(假设Rm可以忽略不计):

石英晶振的频域电抗特性,如下图所示:

其中Fs的是当电抗Z=0时的串联谐频率,其表达式如下:

Fa是当电抗Z趋于无穷大时的并联谐振频率,使用等式(1),其表达式如下:

在Fs到Fa的区域即通常所谓的:“并联谐振区”(图2中的阴影部分),在这一区域晶振工作在并联谐振状态。在此区域晶振呈电感特性,从而带来了相当于180 °的相移。公式可知通过调节负载电容CL来微调振荡器的频率 其频率FP(或者叫FL:负载频率)表达式如下:

02
振荡器原理
振荡器由一个放大器和反馈网络组成,反馈网络起到频率选择的作用。它可用如下模型表示:

A(f)是放大器部分,给这个闭环系统提供能量以保持其振荡。
B(f)是反馈通道,它决定了振荡器的频率。
为了让振荡器工作,一要保证|A(f)|.|B(f)| >> 1。这意味着开环增益应远大于1,到达稳定振荡所需的时间取决于这个开环增益。二要向其提供启动所需的电能。一般来说,上电的能量瞬变以及噪声可以提供所需的能量。
03
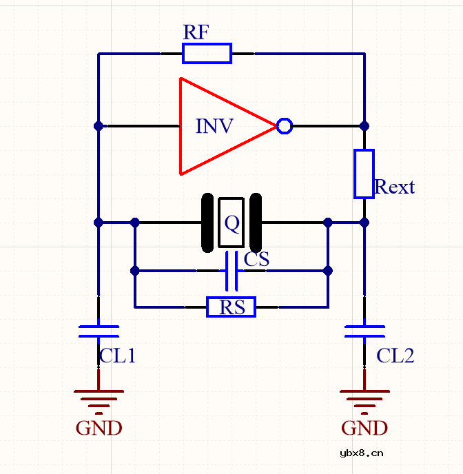
Pierce振荡器原理
皮尔斯振荡器有低功耗、低成本及良好的稳定性等特点,因此常见于通常的应用中。它可用如下模型表示:

Inv:反向器用于反转180°。
Q:石英晶振核心。
RF:内部反馈电阻(使反相器工作在线性区,)。
Rext:外部限流电阻。
CL1和CL2:两个外部负载电容。
Cs:产生的杂散寄生电容。
Rs:并联电阻,由于内部反馈无法引入正常的负反馈时使用。
04
Pierce振荡器参数配置
● 反馈电阻RF
它的作用是通过引入负反馈,使内部反向器变为放大器,迫使反向器工作在线性区域。
● 负载电容CL
指连接到晶振上的终端电容。CL值取决于外部电容器CL1和CL2,以及板件杂散寄生电容(Cs)。
CL的表达式如下:

Cs一般是3~5pF
● 增益裕量
最重要的参数,它决定振荡器是否能够正常起振。
其表达式如下:

其中:gm是反向器的跨导,高频情况的单位是mA/V或者是低频情况的单位µA/V。
gmcrit(gmcritical)的值取决于晶振本身的参数。
反向器跨导(gm)必须满足:gm > gmcrit 。在这种情况下才满足起振的振荡条件。为保证可靠的起振,增益裕量的最小值一般设为5。
例如,如果设计一个微控制器的振荡器部分,其gm等于25mA/V。石英晶振参数如下:
频率= 8MHz,C0= 7pF,CL= 10pF,ESR = 80 Ω
那么该晶体能否与微控制器配合可靠起振?
让我们来计算gmcrit:

如果据此来计算增益裕量,可得:此增益裕量远大于起振条件即Gainmargin>5,晶振将正常起振。如果不能满足增益裕量起振条件(即增益裕量Gainmargin小于5,晶振无法正常起振),应尝试选择一种ESR较低或/和CL较低的晶振。
●驱动级别
描述了晶振的功耗。晶振的功耗必须限制在某一范围内,否则石英晶体可能不正常工作。通常由晶振制造商给出驱动级别的最大值,单位是毫瓦。超过这个值时,晶振就会受到损害。驱动级别由下述表达式给出:

IQRMS是交流电流的均方根有效值。
这个电流可以使用小电容(<1pF)分布的示波器探头在放大器的输入端,即OSC_IN引脚,测量电压变化得到。相对于流经CL1的电流,放大器的输入电流可以忽略不计(输入电阻无穷大);因此可以假定经过晶振的电流等于流经CL1的电流。这样在这点上,电压的均方根有效值与电流的均方根有如下关系:

其中:F是晶体的频率

这里Vpp是在CL1端测量电压的峰-峰值

(Cprobe是探头的电容量)
这样,驱动级别可以由下式得出:

DL数值超过标称值时,需要添加RExt。同时,DL也不可以远小于标称值。
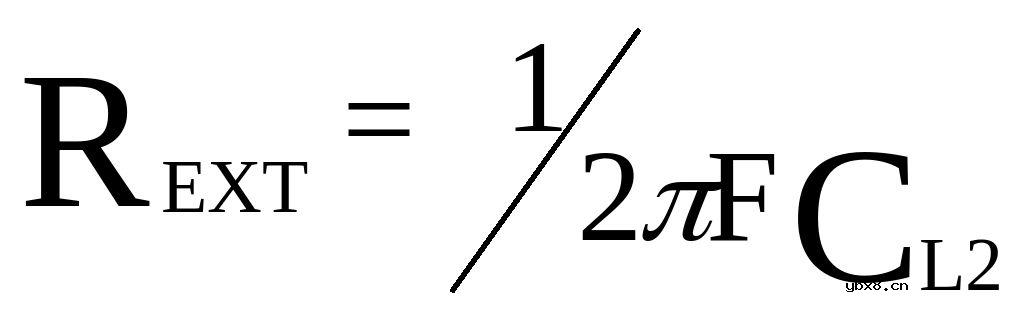
● 外部电阻RExt
限制晶振的驱动级别,并且它与CL2组成一个低通滤波器,以确保振荡器的起振点在基频上,而不是在其他高次谐波频率上(避免3次、5次、7次谐波频率)。如果晶振的功耗超过晶振制造商的给定值,外部RExt是必须的,避免晶振被过分驱动。如果晶振的功耗小于标称值,不需使用外部电阻。对RExt值的预估可以通过考虑由RExt和CL2的电压分压RExt/CL2实现(注意到RExt和CL2构成一个分压/滤波器,考虑通带宽度不小于振荡器频率),则由RExt的值等于CL2的电抗:

优化REXt的方法:首先确定CL1、CL2的值,然后用电位器代替RExt,RExt值可设为CL2的电抗值。然后调整电位器的值直到它满足驱动级别的需要,此时电位器的值就是RExt的值。注意:在计算完RExt的值后,仍然需要重新计算gainmargin的值,以确保RExt对起振没有影响。

● 启动时间
指振荡器启动并达到稳定所需的时间。这个时间受外部电容CL1、CL2影响,同时它随着晶振的频率的增加而减少,石英晶体的起振时间要比陶瓷晶振的时间要长得多。
● 晶振的牵引度
(译注:也叫可调度)是指工作在正常并联谐振区的晶振频率的变化率。这也用于衡量随负载电容变化而导致的频率变化,负载电容的减少会导致频率的增加,反之负载电容的增加会导致频率的减小。晶振的牵引度表达式如下:

05
Pierce振荡器参数配置步骤
增益裕量(Gainmargi)计算
计算晶振的增益裕量(Gainmargin)并检查其是否大于5。
外部负载电容的计算
驱动级别及外部电阻的计算
突破人形机器人控制器性能瓶颈:高效稳定的...
时间:2026-03-05
一文讲懂开关电源的阻尼振荡
时间:2026-03-05
使用过滤器电容器和诱导器来抑制受辐射的EM...
时间:2026-03-05
智能硬件遭遇销量困局 看社区O2O如何破解
时间:2026-03-05
物联网新时代,关于安全的5大错误认知
时间:2026-03-05
智能停车场一体化控制器方案简述
时间:2026-03-05
ZigBee应用于智能家居是否存在严重漏洞?
时间:2026-03-05
推动物联网发展,供电是基础设备的生命线
时间:2026-03-05
楼宇对讲走向标准化 四大发展方向明确
时间:2026-03-05
最帅“黑”科技:让普通手机可扫描3D
时间:2026-03-05
玻璃釉电容器的结构与特点
时间:2026-03-05
表贴电容的分类
时间:2026-03-05
关于STM32WL LSE 添加反馈电阻后无法起振的...
时间:2026-03-05
RI-80F型高压高阻玻璃釉膜电阻分压器
时间:2026-03-05
电阻的标称阻值和允许偏差
时间:2026-03-05
穿芯电容的形式_穿芯电容应用
时间:2026-03-05
电容器运行时温度过高的原因有哪些
时间:2026-03-05
固态电容的作用_固态电容的优点
时间:2026-03-05
电容在交流电路中是怎样工作的?
时间:2026-03-05
高压电容怎么测好坏_如何提高高压电容寿命
时间:2026-03-05