ESR表示电容器中的电阻损耗。这个损耗包括金属电极分布电阻、内部电极间的接触电阻,以及外部端接电阻。高频下的趋肤效应会增加器件的引线电阻值,所以高频ESR大于直流下的ESR。
ESL也能表示电容器的损耗。当限制电流在元件封装内流动时,必须克服这一因素。就理论而言,限制越严,对电流密度要求也越高,相应地对ESL要求也越高。为了减少这个寄生参数,必须考虑宽和长的比例。
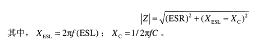
电容器的阻抗用ESR与ESL表示为

对于某些介质电容器,其电容值随温度和直流偏压而变化。等效串联电阻ESR随温度、直流偏压和频率变化,与此同时等效串联电感ESL保持相对不变。
由于电容器的导线上存在电感,则该电感使得电容器是非理想的。理想电容器的阻抗随频率衰减的速率是-20B每10倍频率。因为不可能通过理想布线来有效地消除磁通量,因而双面板上的长电源走线相当于增加电容器引线长度,这将严重改变电源分配系统的自谐振。
对于一个理想的平板电容器来说,当电流单一地从一侧流出,注入另一侧时,电感实际上为零。在这种情况下,高频下的Z将等于Rs,,不存在固有谐振,这正是PCB中的电源和接地层的结构特性,如图所示。

图 理想平板电容器的阻抗频率响应
智能电网监测利器:高性能抗干扰压电能量采...
时间:2026-03-05
配电室总零线带电故障排查步骤与解决方案
时间:2026-03-05
配电系统实施总体综合设计方案
时间:2026-03-05
单相并网光伏逆变器主电路拓扑及其优缺点
时间:2026-03-05
新型电力中压开关柜解决方案
时间:2026-03-05
10KV开关柜控制和保护动作原理图
时间:2026-03-05
零序电流保护和剩余电流保护哪个好?
时间:2026-03-05
配电柜里的圆盘作用是什么?
时间:2026-03-05
风力发电机为何低速旋转却能日发26万度电?
时间:2026-03-05
配电柜内的神秘装置揭秘
时间:2026-03-05
玻璃釉电容器的结构与特点
时间:2026-03-05
关于STM32WL LSE 添加反馈电阻后无法起振的...
时间:2026-03-05
电阻的标称阻值和允许偏差
时间:2026-03-05
浅谈高压贴片电容分类与性能参数
时间:2026-03-05
漆膜电容器的结构与特点
时间:2026-03-05
复合介质电容器的结构与特点
时间:2026-03-05
瓷介电容器的结构与特点
时间:2026-03-05
电解电容器的结构与特点
时间:2026-03-05
电解电容的作用
时间:2026-03-05
浅谈电解电容检测及选用
时间:2026-03-05